Types: abline, hline, vline#249
Merged
grantmcdermott merged 9 commits intograntmcdermott:mainfrom Nov 13, 2024
Merged
Conversation
Collaborator
Author
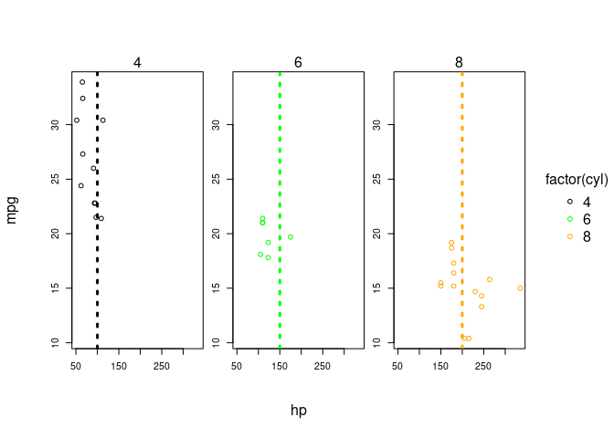
library(tinyplot)
tinyplot(mpg ~ hp, data = mtcars)
tinyplot_add(type = type_vline(150))cols = c("black", "green", "orange")
tinyplot(mpg ~ hp | factor(cyl), facet = ~ factor(cyl), data = mtcars, col = cols)
tinyplot_add(type = type_vline(
v = c(100, 150, 200), col = cols, lty = 3, lwd = 3
))Created on 2024-11-12 with reprex v2.1.1 |
Collaborator
Author
|
I feel like the whole refactor is paying off in a really big way now :) |
grantmcdermott
requested changes
Nov 13, 2024
Owner
grantmcdermott
left a comment
There was a problem hiding this comment.
Nice! I didn't have time to test this locally, but just left a few minor comments.
grantmcdermott
approved these changes
Nov 13, 2024
Owner
|
Brilliant, thanks! I've got some pressing deadlines at work. But will try to take a look at your other PRs later today. |
This file contains hidden or bidirectional Unicode text that may be interpreted or compiled differently than what appears below. To review, open the file in an editor that reveals hidden Unicode characters.
Learn more about bidirectional Unicode characters
Sign up for free
to join this conversation on GitHub.
Already have an account?
Sign in to comment
Add this suggestion to a batch that can be applied as a single commit.This suggestion is invalid because no changes were made to the code.Suggestions cannot be applied while the pull request is closed.Suggestions cannot be applied while viewing a subset of changes.Only one suggestion per line can be applied in a batch.Add this suggestion to a batch that can be applied as a single commit.Applying suggestions on deleted lines is not supported.You must change the existing code in this line in order to create a valid suggestion.Outdated suggestions cannot be applied.This suggestion has been applied or marked resolved.Suggestions cannot be applied from pending reviews.Suggestions cannot be applied on multi-line comments.Suggestions cannot be applied while the pull request is queued to merge.Suggestion cannot be applied right now. Please check back later.


No description provided.