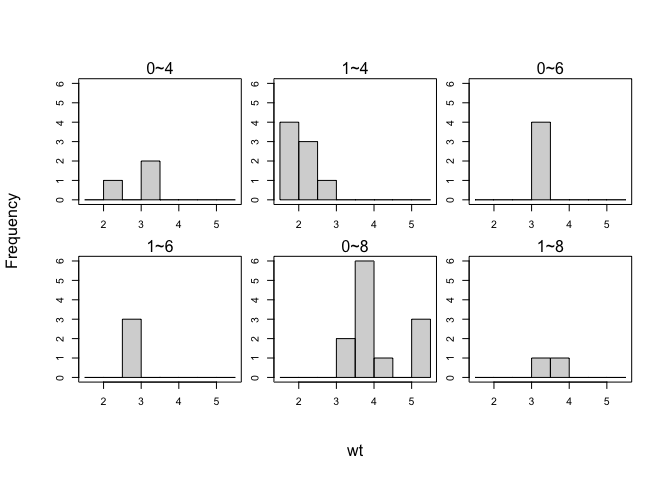
Two-sided formulas are being interpreted a one-sided interaction:
tinyplot::plt(~wt, mtcars, facet = cyl ~ am, type = "hist")

Update: Density plots have their own problems. This time, we at least get a grid layout (titles on the RHS), but the arrangement is wrong (look the mistaken titles).
tinyplot::plt(~wt, mtcars, facet = cyl ~ am, type = "density")

For comparison, this is what the correct grid arrangement should look like:
tinyplot::plt(~wt, mtcars, facet = cyl ~ am)

Created on 2024-08-27 with reprex v2.1.1
Two-sided formulas are being interpreted a one-sided interaction:
Update: Density plots have their own problems. This time, we at least get a grid layout (titles on the RHS), but the arrangement is wrong (look the mistaken titles).
For comparison, this is what the correct grid arrangement should look like:
Created on 2024-08-27 with reprex v2.1.1